Was ist der Unterschied zwischen Algorithmen und Orakeln?
Insbesondere die Digitalisierung hat die Komplexität unserer Welt anschwellen lassen und sie hilft uns auch, mit ihr umzugehen. Ich habe hier schon oft digitale Tools vorgestellt, allen voran System Dynamics Tools, die wir aktiv einsetzen, wie eine Denkkrücke. Um bei der Metapher aus dem physiologisch-medizinischen Gebiet zu bleiben, gibt es aber auch Herzschrittmacher, die uns automatisch und ohne unsere aktive Beteiligung zu Diensten sind. Ich denke an sogenannte Algorithmen.
Algorithmen sind Tausende von Jahre alt
Algorithmen haben in komplexen Umgebungen die Aufgabe, grosse Datenmengen zu sammeln und auszuwerten. Am besten, sie veranlassen dann gleich die notwendigen Handlungen, ohne zuerst „den Benutzer“ zu konsultieren, denn der wäre schnell überfordert, wie die Flugzeugkollision von 2002 in Überlingen gezeigt hat. Die Automatik hätte richtig reagiert, doch Menschen haben sie übersteuert, was zur Katastrophe führte.
<a href=”

Algorithmen geben nach endlicher Zeit ein eindeutiges Resultat
Ein anderer bekannter Algorithmus ist der von Djikstra (sprich: „Daikstra“). Er gibt in einem Netzwerk den kürzesten Weg zwischen zwei Punkten an. Sicher spielt er in GPS-Anwendungen eine Rolle, doch geht er natürlich davon aus, dass die Distanzen zwischen den Punkten sich nicht dauernd verändern. Zwar ist die Distanz zwischen Berlin und Zürich in der Tat über viele Jahrtausende konstant, was genügen würde, um mit Djikstra die kürzeste Strassenverbindung zwischen den beiden Städten zu errechnen. Aber eigentlich interessiert uns ja eher die schnellste Verbindung. Das wäre kein Problem, wenn wir die Abstände zwischen den Strassenecken statt in Km in Fahrminuten angeben. Diese „Abstände“ sind nun aber hochgradig dynamisch. Die wichtigste Einflussgrösse ist wohl das Verkehrsaufkommen. Um das zu messen, braucht es viele Sensoren, vielleicht in Form von Kameras, was aber sofort die Datenschützer auf den Plan ruft.
<a href=”

Unscharfe Resultate
Doch das Ergebnis beruht auf statistischen Daten und ist somit nicht mehr scharf. Zudem kann sich die Situation bereits wieder verändert haben, wenn der Benutzer endlich auf das Display schaut.
<a href=”

Der Algorithmus basiert auf der Methode der Bayes’schen Netze, die stochastisch sind, d.h. auf Wahrscheinlichkeiten aufbauen. Stochastische Algorithmen können nur noch Vorschläge machen. Hängen Menschenleben davon ab, sind sie wohl nur bedingt geeignet, um ohne menschliche Intervention zu agieren.
Geheime Rezepturen
<a href=”

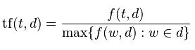
Ein solcher Algorithmus ist der TF-IDF Algorithmus. Er wird z.B. von Google verwendet, um Suchergebnisse zu präsentieren. Wenn wir nach einem Begriff suchen, erhalten wir normalerweise eine Liste mit mehreren Tausend Einträgen, von denen wir aber meist bloss die ersten paar ansehen. Daher sollten die relevanten Dokumente zuoberst stehen. Dazu wird ein Wörterbuch [latex]{b_1, b_2, …, b_M}[/latex] mit einer Anzahl M von Begriffen definiert. Jedem Dokument wird dann ein M-dimensionaler Vektor zugeordnet, der an der i-ten Stelle eine 1 hat, wenn das Wort [latex]b_i[/latex] im Dokument vorkommt und eine 0, wenn das Wort nicht vorkommt. Um die Nützlichkeit des Vektors zu erhöhen, steht anstelle einer 1 ein Gewicht, das angibt, wie wichtig das Wort im Dokument ist.
Es stellt sich nun die Frage, welche Begriffe [latex]b_1, b_2, …, b_M[/latex] im Wörterbuch vertreten sein sollen. Je grösser M, desto rechenintensiver wird die Sache. Umgekehrt wird das Resultat bei einem kleinen M unbrauchbar. Es ist Google Geheimnis, welche Schlüsselwörter sie ihrem Wörterbuch einverleiben. Aber gewiss hat ein solcher Algorithmus diese Bezeichnung nicht mehr verdient. Er ist mehr ein Orakel, denn ein Algorithmus.
Orakel und Horoskope
Ganz auf der Seite der Orakel sind Versuche, mit haarsträubenden Rechenvorschriften Persönlichkeitsprofile von Benutzern erstellen zu wollen. Sie können unter do not track: Ich like, also bin ich an einem solchen Versuch teilnehmen. Keine Angst, es ist bloss eine Demo für die Konsumenten der Videoserie „Do not track“. Die Ergebnisse werden nicht weiter verwendet. Z.B. steht da:
Als nächstes werden die Daten, die Sie auf Facebook gespeichert haben, mit Hilfe eines Algorithmus analysiert und auf diese Weise Ihre Charaktereigenschaften ausgewertet. Psychologen gehen davon aus, dass sich der Charakter eines jeden Menschen gemäß dem Fünf-Faktoren-Modell (den sog. Big Five) auf den Skalen Extraversion, Offenheit für Erfahrungen, Gewissenhaftigkeit, Verträglichkeit und Neurotizismus einordnen lässt. Wenn eine Person einen hohen Wert in der Kategorie Extraversion hat, ist sie beispielsweise meist sehr gesellig, freundlich und aktiv. Menschen, die einen hohen Wert in der Kategorie Gewissenhaftigkeit haben, sind in der Regel gut organisiert, vernünftig und strebsam.
Entsprechend fällt denn auch das Resultat aus: hanebüchen! Eine Rechnung, die Menschen in fünf Schubladen einordnet und diese erst noch von unbegründeten Behauptungen, wie z.B. „gewissenhafte Menschen sind strebsam“ ausgeht, kann nun wirklich nicht mehr sein, als ein Orakel oder gar ein Horoskop.
In der fünften Episode der sehr gut gemachten, aber düsteren Videoserie, geht es um „Big Data: Die Welt der Algorithmen“. Obwohl hier nicht mehr von Algorithmen die Rede sein kann, wird gefragt
Was ist, wenn die Algorithmen sich irren und Menschen aufgrund von Algorithmen-Resultaten diskriminiert werden?
Das ist in der Tat ein Risiko, zuweilen sogar ein existentielles (z.B. wenn der Algorithmus die Medikamenten-Dosierung von Patienten errechnet und bei “armen” Patienten spart; natürlich gibt es das nicht, aber es ist denkbar) . Wie wir gesehen haben, sind es nicht die (mathematischen) Algorithmen, die im Allgemeinen bekannt und transparent sind(1). Es sind die zugrunde liegenden Glaubenssätze, Geschichten und Spinnereien von paar bedauernswerten Individuen, die keine andere Werte kennen, als “Geld machen”. Und dann gibt es noch solche, die zu wissen glauben, was Richtig und Gut ist und es allen anderen aufoktroyieren wollen. Wir können aber ihretwegen nicht auf Algorithmen verzichten (auf Orakel schon!), denn zu gross ist die Komplexität geworden, die wir ohne Algorithmen nicht mehr alleine bewältigen könnten.
Kommentare
Noch keine Kommentare vorhanden.
Einen Kommentar schreiben
Leave a comment